Problem6:

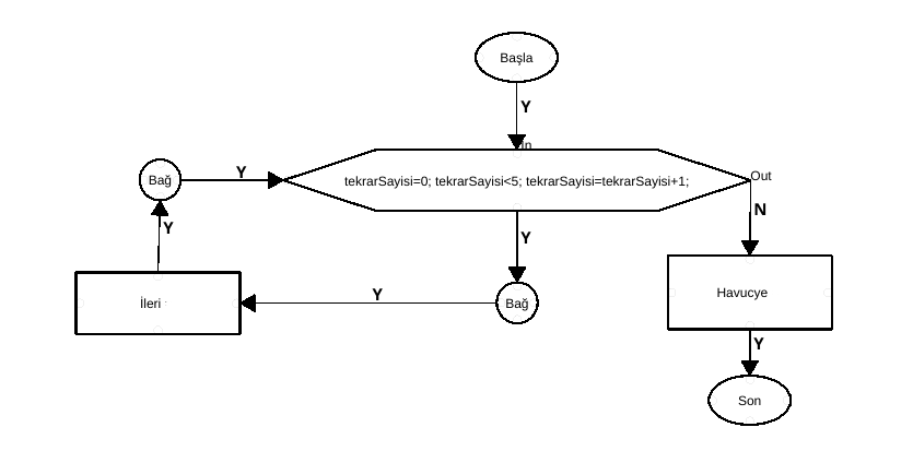
Aşağıdaki problemde tekrar kullanırken değiken kullanılmıştır. tekrarSayisi değişkeni kadar tekrarlama yapılmaktadır.

Alternative text

Çözüm:

Alternative text